Pearson Correlation Explained: A Practical Tutorial for Beginners (With Business & Finance Examples)

Rajeev Bagra 2026-04-10

Last Updated on February 8, 2026 by Rajeev Bagra


Understanding correlation is essential in data analysis, finance, marketing, and business intelligence.

In this tutorial, you will learn:

What Pearson correlation really measures
Why “no correlation” happens
How the formula works
When Pearson fails
How professionals use it in finance
How to interpret graphs correctly


1. What Is Pearson Correlation?

The Pearson Correlation Coefficient (r) measures:

How strongly two variables move together in a straight-line pattern.

Its value lies between:

ValueMeaning
+1Perfect positive
0No linear relation
–1Perfect negative

Example:

  • Ads ↑ → Sales ↑ → Positive
  • Rates ↑ → Loans ↓ → Negative

2. Important Rule: Pearson Is About X vs Y (Not Time)

Many beginners think:

“If X and Y are both straight over time, they are correlated.”

This is wrong.

Pearson does NOT care about time.

It only looks at:

How Y changes when X changes.

So always think:

Plot Y against X — not against time.


3. The Pearson Formula

 

What It Means in Simple Words

Correlation = (How X and Y move together) ÷ (How much they move separately)


4. How the Formula Detects Relationship

The key part is:

\sum (x_i-\bar{x})(y_i-\bar{y})
This multiplies deviations.
X movesY movesResult
UpUp+
DownDown+
UpDown
DownUp

If many + → Positive r

If many – → Negative r

If + and – cancel → r ≈ 0

That is how “no correlation” appears.


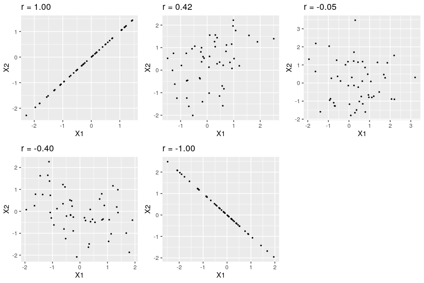
5. Understanding Correlation Using Graphs

Always draw a scatter plot before trusting r.


A. Perfect Positive Correlation ( r = +1 )

Image
Image
Image
Image

Example Dataset

XY
12
24
36
48
510

Here:

r=+1
All points lie on one rising line.

B. Perfect Negative Correlation ( r = –1 )

Image
Image
Image
Image

Example Dataset

XY
110
28
36
44
52

Here:

r=-1
One rises, the other falls.

C. No Linear Correlation ( r ≈ 0 )

Image
Image
Image
Image

Example Dataset

XY
17
23
39
44
56

Here:

r\approx0

Products cancel → no straight-line pattern.


D. Non-Linear Relationship ( Pearson Fails )

Image
Image
Image

Example

XY
11
24
39
416
525

Here:

Y=X^2
Strong relationship  But Pearson → r ≈ 0 

Because it is curved.


6. Correlation ≠ Causation

Correlation does NOT mean cause.

Example:

  • Ice cream sales ↑
  • Drowning ↑

Both caused by summer.

Not by each other.


7. How Finance Professionals Use Correlation


A. Portfolio Diversification

Goal: Reduce risk.

r ValueMeaning
> 0.8Risky
< 0.3Good
< 0Hedge

They prefer:

r<0.3[/latex]    <pre class="wp-block-code"><code> </code></pre>    <hr class="wp-block-separator has-alpha-channel-opacity"/>    <h2 class="wp-block-heading"> B. Stock vs Index</h2>    <p>Check:</p>    <p>Stock Return vs Market Return</p>    <p>High r → market dependent<br>Low r → independent stock</p>    <hr class="wp-block-separator has-alpha-channel-opacity"/>    <h2 class="wp-block-heading"> C. Banking & Loans</h2>    <p>Interest Rate vs Loan Demand</p>    <p>Usually:</p>   [latex]r<0[/latex]    <pre class="wp-block-code"><code> Used for pricing.</code></pre>    <hr class="wp-block-separator has-alpha-channel-opacity"/>    <h2 class="wp-block-heading"> D. Marketing ROI</h2>    <p>Ads vs Sales</p>    <p>If:</p>   [latex]r>0.7
Campaign works.

8. How Professionals Decide “No Relationship”

They NEVER trust r alone.

They check:

r < 0.2
p-value > 0.05
Scatter plot
Stability over time
Business logic

Only then:

“Probably independent.”


9. When NOT to Use Pearson

Do NOT use Pearson when:

Data is curved
Data is ranked
Data has outliers
Regimes change

Use instead:

  • Spearman
  • Regression
  • Nonlinear models

10. Step-by-Step Method for Learners

Before using Pearson, always follow this:

Step 1

Plot X vs Y

Step 2

Ask: “Is it roughly straight?”

Step 3

If yes → Use Pearson

Step 4

Compute r

Step 5

Check if r > 0.3

Step 6

Interpret with business logic


Final Summary

TopicKey Idea
Pearson MeasuresLinear relationship
r ≈ 0 MeansNo straight-line pattern
Not MeaningNo relationship at all
Always DoPlot first
Finance UseRisk control

Final Takeaway

Pearson correlation tells you how well two variables move together in a straight line. A value near zero means no strong linear pattern, not necessarily no relationship.

Leave a Comment
Submitted successfully!

Recommended Articles